-
近日,北京理工大學徐寶華教授團隊在構筑聚離子液體-銀(PIL-Ag)雜...
-
近期,北京理工大學張加濤教授團隊在等離激元光催化材料合成與界面調控方面...
-
近日,北京理工大學前沿交叉科學研究院黃元教授、集成電路學院徐曉龍準聘教...
-
近日,北京理工大學外國語學院助理教授徐翠博士在國際頂級翻譯學期刊Bab...
-
近日,北京理工大學外國語學院助理教授紀悅博士在事件結構的語言與認知方面...
-
北京理工大學智能機器人研究所王化平教授團隊在微納機器人與生物醫學工程領...
-
基于此,北京理工大學化學與化工學院長聘副教授楊文和北京理工大學醫工融合...
-
日前,管理與經濟學院顏志軍教授主持的國家自然科學基金委重點國際(地區)...
-
近期,北京理工大學王金亮教授團隊在構筑基于區域規整異三鹵化端基的高效率...
-
近日,北京理工大學物理學院量子技術研究中心趙清、張博研究團隊與中國科學...
-
2022年下半年,北理工科研團隊分別在鈣鈦礦太陽能電池研究、環二核苷酸...
-
近日,北京理工大學前沿交叉科學研究院黃佳琦教授課題組在金屬鋰電池安全改...
-
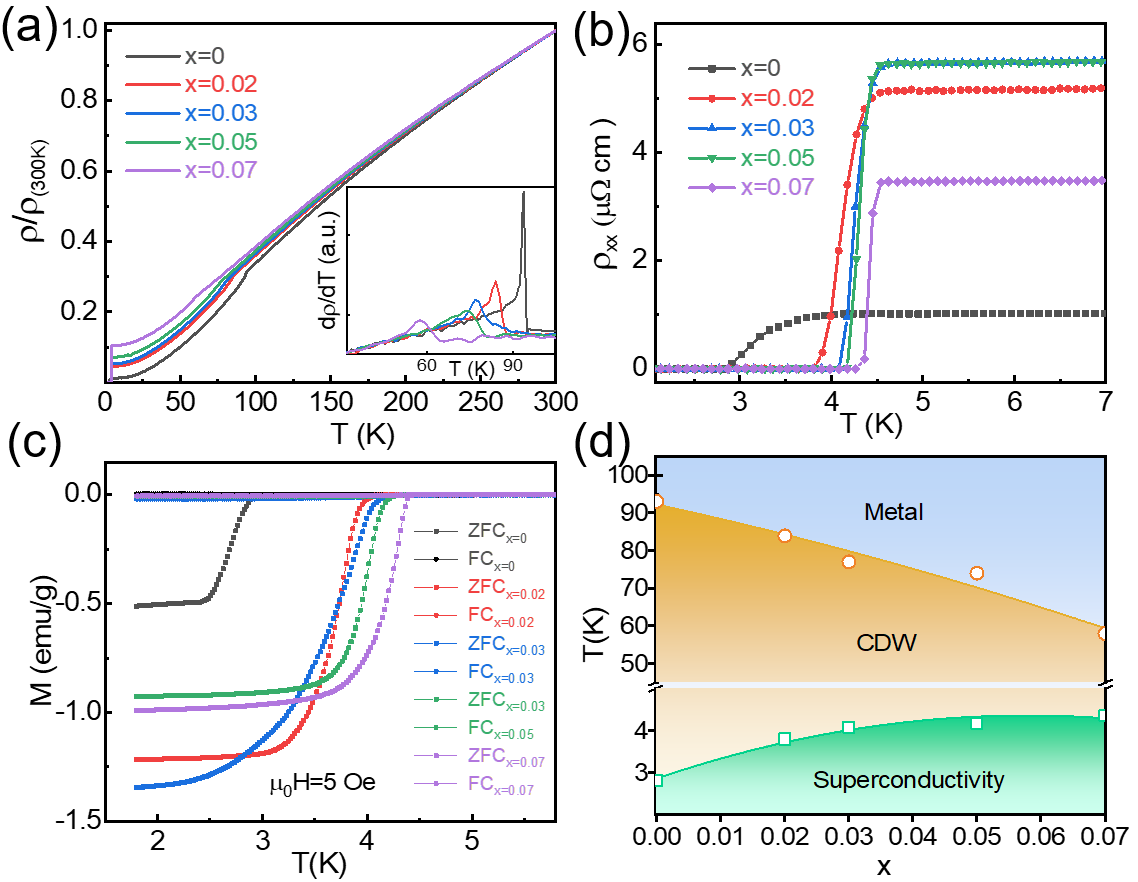
近日,北理工物理學院王秩偉特別研究員、姚裕貴教授團隊在Nb摻雜籠目結構...
-
近日,北京理工大學張帥龍教授在國際生物化學類頂級期刊《Chemical...
-
離散有序組裝體的構筑及性能研究是化學領域的研究熱點,通過拓撲結構的精準...
-
近日,北京理工大學物理學院姚裕貴教授、段俊熙副研究員團隊在轉角石墨烯體...
-
北京理工大學王蔚芝課題組近日與新加坡國立大學陳小元課題組合作,開發了基...
-
北京理工大學王蔚芝課題組近期開發了一種基于點擊化學的多肽功能化識別與調...
-
?10月14日,北京理工大學王博教授團隊在Science上發表文章“C...
-
近日,北京理工大學光電學院許廷發科研團隊在遠程病理成像領域取得新進展,...
-
?10月21日,北京理工大學化學與化工學院趙之平教授團隊在柔性MOF膜...
太阳城娱乐城备用网址|
百家乐系列抢庄龙|
百家乐官网实时路单|
西游记百家乐官网娱乐城|
大发888线上娱乐城二十一点|
博狗百家乐官网的玩法技巧和规则|
六合彩公司|
百博百家乐官网的玩法技巧和规则
|
东京太阳城王子大酒店|
百家乐官网游戏排行榜|
三国百家乐的玩法技巧和规则|
六盘水市|
百家乐软件代理|
百家乐官网改单软件|
百家乐五湖四海娱乐场开户注册|
太阳城百家乐官网怎样开户|
百家乐之对子的技巧|
太阳城金旭园|
保单机百家乐破解方法|
百家乐官网tt娱乐|
大发888娱乐城怎么玩|
百家乐官网好津乐汇|
百家乐平注法到6568|
百家乐官网娱乐城博彩通博彩网|
百家乐官网视频下载地址|
大发888 充值|
女优百家乐的玩法技巧和规则
|
全讯网5532555|
百家乐挂机软件|
澳门百家乐官网娱乐城怎么样|
万人迷百家乐的玩法技巧和规则|
百家乐如何看面|
海王星百家乐官网的玩法技巧和规则
|
太阳百家乐破解|
百家乐路珠多少钱|
百家乐代打公司|
大庆市|
二八杠棋牌|
百家乐PK|
百家乐定位膽技巧|
百家乐娱乐城会员|