赌博网-赌球网址-体育

北理工團隊在Kagome超導研究中取得重要進展


近日,北理工物理學院王秩偉特別研究員、姚裕貴教授團隊在Nb摻雜籠目結構 (Kagome structure) 超導體CsV3Sb5中取得系列進展。準二維材料AV3Sb5(A="K,Rb,Cs)被發現是Kagome超導體的典型范例,是研究電子相關效應、拓撲性和幾何挫折之間相互作用的一個新型量子平臺。多種研究手段顯示AV3Sb5的超導電性表現出與電荷密度波(CDW)共存的特征,然而超導性和電荷密度波的產生機制仍然存在爭議。

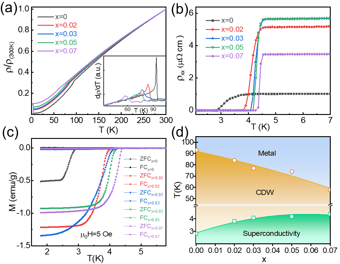
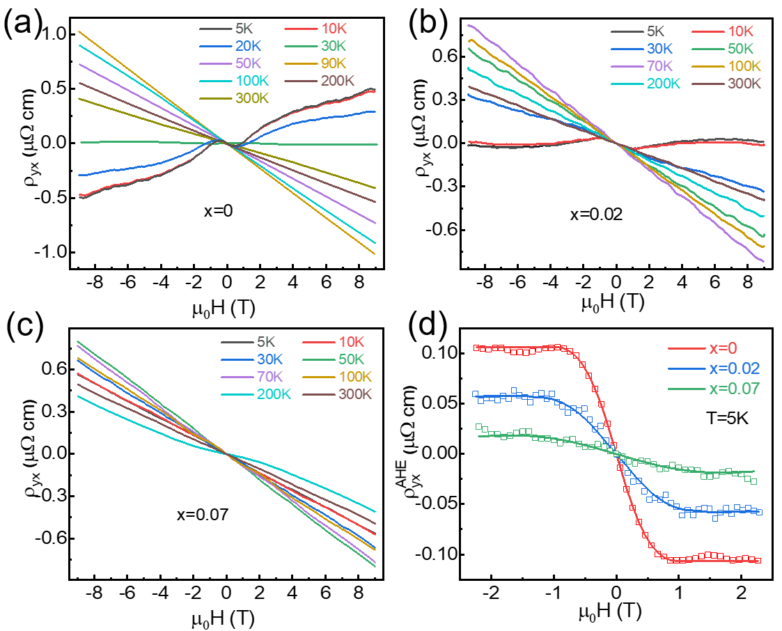
為了探索Kagome超導體CsV3Sb5超導性和電荷密度波的產生機制以及其內在聯系,博士生李永愷(現為北理工物理學院博士后)在王秩偉研究員的指導下成功地合成了Nb摻雜Cs(V1-xNbx)3Sb5單晶樣品,發現這個體系的Nb摻雜極限為7%,通過XRD結構精修證實Nb替代V位,從而對該體系的VSb二維Kagome格子層進行有效調控。進一步系統研究了體系的電荷密度波和超導電性隨Nb摻雜量的變化。通過電輸運測量發現Nb摻雜可以逐漸抑制電荷密度波同時增強了超導電性,最高超導溫度為4.45K,這表明電荷密度波和超導之間存在競爭關系,如圖1所示。同時,隨著Nb摻雜量的提高,反?;魻栃c電荷密度波一起顯著減弱,這為反?;魻栃c電荷密度波之間可能存在的密切關系提供了實驗證據,如圖2所示。

圖1. 不同Nb摻雜濃度的Cs(V1-xNbx)3Sb5中的電荷密度波和超導特性

圖2. Cs(V1-xNbx)3Sb5中反?;魻栃SNb摻雜濃度增加而變弱

為了解釋電荷密度波和超導之間的這種競爭關系,我們進行了第一性原理計算,如圖3所示:第一性原理計算結果表明Nb的摻雜使得M處的范霍夫奇點發生了變化,Nb摻雜使范霍夫奇點從低于費米能量移動到高于費米能量,使其被填充的能量態密度被耗盡,因而減弱了電荷密度波;同時,Nb的摻雜使得?處的電子口袋擴大,這為超導配對提供了更多的電子態密度,因而提高了超導性,我們結果揭示了Cs(V1-xNbx)3Sb5體系中電荷密度波和超導之間不同尋常的競爭。相關工作得到了南京大學聞?;⒔淌谡n題組的合作,成果以Letter的形式發表在Physical Review B上 [PRB 105, L180507 (2022)]。

圖3. Cs(V1-xNbx)3Sb5(x="0與x=0.07)的電子能帶結構理論計算

為了進一步驗證我們的理論計算并研究Nb摻雜對CsV3Sb5體系的電子能帶結構的影響,研究團隊與日本東北大學的T. Sato課題組合作,通過角分辨光電子能譜(ARPES)對Cs(V1-xNbx)3Sb5電子能帶結構開展了系統研究。ARPES結果顯示,隨著Nb元素的摻入,如圖4所示,Γ點處的Sb原子衍生的電子口袋(α帶)向下移動,而M點處V原子衍生的范霍夫奇點(δ帶)向上移動。此外,隨著Nb的摻雜,δ帶向上移動,導致范霍夫奇點遠離費米能級,從而導致電荷密度波轉變溫度TCDW變低且CDW強度越來越弱,如圖4、5所示。該結論表明電荷密度波的產生與范霍夫奇點緊密關聯。同時我們還發現,Nb摻雜導致超導轉變溫度Tc升高的內在物理本質是:Nb摻雜導致Sb衍生的α帶的電子口袋擴大和費米面處V衍生的電子態密度恢復共同作用導致超導電性增強。相關工作發表在Physical Review Letters上 [PRL, 129, 206402 (2022)]。

圖4. 在120K時Cs(V1-xNbx)3Sb5(x="0與x=0.07)的電子能帶結構

圖5. Cs(V1-xNbx)3Sb5電子能帶結構隨溫度和Nb摻雜濃度的演化

總而言之,我們通過Nb摻雜調控了Kagome格子超導體CsV3Sb5的能帶結構,進而改變其超導電性和電荷密度波相變條件,為揭示CsV3Sb5中超導電性和電荷密度波的起因提供了重要實驗證據。

上述工作得到了國家重點研發計劃、國家自然科學基金、北京市自然科學基金、北京理工大學青年教師學術啟動計劃等相關項目的支持。

相關文章鏈接如下:

https://doi.org/10.1103/PhysRevLett.129.206402

https://doi.org/10.1103/PhysRevB.105.L180507


分享到:

菲律宾百家乐赌场娱乐网规则| 神话百家乐的玩法技巧和规则| 粤港澳百家乐官网娱乐| 跨国际百家乐官网的玩法技巧和规则 | 百家乐官网庄闲筹码| 哪家百家乐最好| 子长县| 东营区百家乐艺术团| 正蓝旗| 大发888娱乐场注册| 百家乐官网赌博娱乐城大全| 六合彩官网| 百家乐百家乐论坛| 新葡京| 百家乐去哪里玩最好| 蓬莱市| 百家乐龙虎斗| 百家乐官网有作弊的吗| 全讯网| 百家乐23珠路打法| 做生意什么花招财| 澳门博彩业| 代理百家乐试玩| 三公百家乐官网在线哪里可以玩| 百家乐官网必胜绝技| 克拉克百家乐的玩法技巧和规则| 百家乐官网庄闲分布概率| 58百家乐的玩法技巧和规则| 网上百家乐赢钱公式| 豪博百家乐官网娱乐城| 普定县| bet365体育投注| 大发888官方游戏平台| 太阳城申博娱乐| 百家乐那里可以玩| 百家乐桌布无纺布| 澳门百家乐官网游戏玩法| 百家乐官网开户投注| 沈阳盛京棋牌下载| 大发888娱乐城客户端迅雷下载| 百家乐稳中一注法|