赌博网-赌球网址-体育

北理工在室溫超導研究方面取得重要進展


近期,北京理工大學物理學院姚裕貴教授課題組與羅徹斯特大學Ranga P. Dias副教授(室溫超導實驗發現者)、伊利諾伊大學芝加哥分校Russell J. Hemley教授(高壓專家、美國院士)以及其他理論學者開展合作,利用第一性原理計算方法,在2015年摻雜H3S的工作基礎上進一步系統地研究了碳和硅摻雜對H3S超導電性的影響,并初步理解了該材料發生室溫超導現象的原因,認可近期實驗合成的室溫超導材料可能就是2015年姚裕貴等理論上所預言的摻雜材料,該工作發表在Materials Today Physics 15, 100330 (2020)。

自1911年發現汞的零電阻現象開始,室溫超導一直是凝聚態物理和材料科學領域追求的圣杯。在BCS超導理論中,晶格振動會導致電子間出現有效吸引作用,最終使得費米面處的電子通過電聲耦合形成庫伯對,從而產生具有零電阻和完全抗磁性的超導電性,超導性一般僅能在低溫發生。物理學家Neil Ashcroft 曾預言超高壓強下金屬氫中質量輕和半徑小的氫原子可以增強電聲耦合并實現室溫超導,但實驗上一直沒有實現!隨后人們提出富氫化合物有可能在高壓條件下更容易實現超導電性。沿著該思路,隨著第一性原理計算模擬預測和鉆石對頂砧實驗技術的廣泛應用,富氫化合物相關研究取得了突破性進展并發現了大量高壓超導材料,例如CaH6、GeH4、MgH6、YH6、SiH4、SiH4(H2)2等。在這一系列激烈競賽中,國內科研人員作出了眾多重要的研究成果。2014年吉林大學馬琰銘課題組和崔田課題組理論預測了高壓硫氫化合物的超導電性,次年德國實驗組在該體系中首次發現高于200 K的超導現象。2015年,北京理工大學姚裕貴課題組首先理論指出摻雜的H3S在250 GPa下完全可以實現280 K即室溫超導的目標[Phys. Rev. B 93, 224513 (2016)]。同年《自然》雜志撰寫新聞介紹超導領域首個重要成果時,重點敘述了該理論預測工作,見[Nature 524, 277 (2015)]。隨后,2019年理論預測和實驗結合發現籠型富氫化物LaH10,再次將相變溫度推高至260 K,其中物理所趙忠賢課題組在高壓LaH10實驗上也取得重要研究成果。2020年10月,羅徹斯特大學Ranga P. Dias課題組實驗發現H-S-C化合物在267 GPa下的相變溫度達到288 K,由此開啟了室溫超導時代 [Nature 586, 373 (2020)]。但是,尚未確定的晶體結構以及合適的理論分析仍是亟待解決的關鍵問題。而事實上,早在2015年北京理工大學物理學院姚裕貴課題組已經利用第一性原理計算證實Im-3m相H3S經過適當的空穴摻雜(例如磷少量替換硫原子,并指出硅(碳也類似)替換同樣有效)可以非常有效的提高費米能級處的電子態密度(DOS)進而增強電聲耦合作用,并能實現280 K的高溫超導 [Phys. Rev. B 93, 224513 (2016)]。

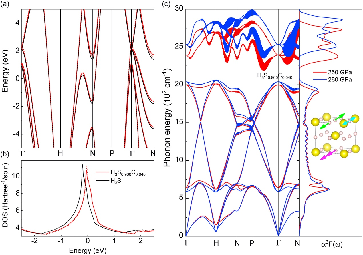
圖1 (a)(b) Im-3m相H3S的能帶結構和DOS:H3S@220GPa (黑線),H3S0.960C0.040@220GPa (紅色實線),H3S0.960C0.040@240GPa (紅色虛線)。(c)聲子色散譜和Eliashberg譜函數:H3S0.960C0.040@250GPa (紅線),H3S0.960C0.040@280GPa (藍線)。

該系列研究工作發現范霍夫奇點使H3S在費米能級附近具有很高DOS,非常有利于BCS超導電性的出現。而低濃度的空穴摻雜使費米能級更加靠近DOS峰值位置,并且適當加壓還可以進一步提高DOS [圖1(b)]。通過詳細的電聲耦合分析發現氫原子振動與電子之間具有很強的耦合作用,如圖1(c)中H-S鍵stretching模式聲子的較大線寬所示。

圖2 (a) H3S1-xZx @250GPa (Z=""C,"" Si)的DOS和電聲耦合常數。(b) H3S0.960Z0.040的DOS、電聲耦合常數和超導相變溫度。(c)超導相變溫度分布圖。

在250 GPa下隨著碳或硅的摻雜濃度增加,當濃度為4%時費米能級處出現DOS極值 [圖2(a)]。并且低摻雜濃度下幾乎不變的聲子頻率導致電聲耦合常數和DOS同步變化 [圖2(a)]。在200~280 GPa的壓強范圍內,費米能級處DOS隨壓強先升高后下降。同時,H-S鍵stretching模式聲子和bending模式的高頻聲子出現硬化,而H-S鍵bending模式的低頻聲子發生軟化 [圖1(c)]。結合空穴摻雜和壓強作用,作者發現260 GPa高壓下碳摻雜3.8%的H3S可以實現289 K的室溫超導 [圖2(c)]。此外,在200~240 GPa內硅摻雜對超導電性的提升效果更加明顯。

總之,研究結果顯示摻雜調控機制可以進一步提高H3S的超導電性甚至可能達到室溫超導,而且不限于碳、硅、磷元素。該系列工作表明摻雜是高壓富氫化合物相關實驗尋找室溫超導的一條有效途徑,正在推動相關研究的進一步發展。

北理工2016屆博士生蓋彥峰為論文的第一作者。該系列研究得到了國家重點研發計劃(2020YFA0308800),國家自然科學基金(11734003,11904312)和中國科學院戰略重點研究計劃(XDB30000000)的支持。

相關文章鏈接:

https://doi.org/10.1103/PhysRevB.93.224513

https://doi.org/10.1016/j.mtphys.2020.100330.


分享到:

襄汾县| 百家乐官网二路珠无敌稳赢打法| 大发888娱乐开户| tt百家乐官网的玩法技巧和规则| 德州扑克 梭哈| 百家乐视频二人麻将| 金榜百家乐官网现金网| 巴特百家乐的玩法技巧和规则| 百家乐官网菲律宾| 德兴市| 百家乐开户送十元| 百家乐官网翻天粤语版| 大发888易付168 充值| 百家乐真人秀| A8百家乐官网娱乐场| 石河子市| 百家乐官网沙| 百家乐官网在线直播| 太阳城娱乐城官方网| 菲律宾百家乐官网试玩| 网上棋牌游戏| 全讯网12580a.com| 免佣百家乐规则| 百家乐最保险的方法| 百家乐官网娱乐官网| 乐陵市| ,| bet365体育投注心得| 百家乐翻天在线观看| 百家乐出千方法技巧| 百家乐对子计算方法| 百家乐官网第三张规则| 玩百家乐官网输澳门百家乐官网现场 | 百家乐官网专业豪华版| 百家乐官网高人破解| 六合彩马报| 亲朋棋牌捕鱼辅助| 老虎机单机游戏下载| 大都会百家乐的玩法技巧和规则| 百家乐庄家必赢诀窍| 做生意门口怎么摆放|